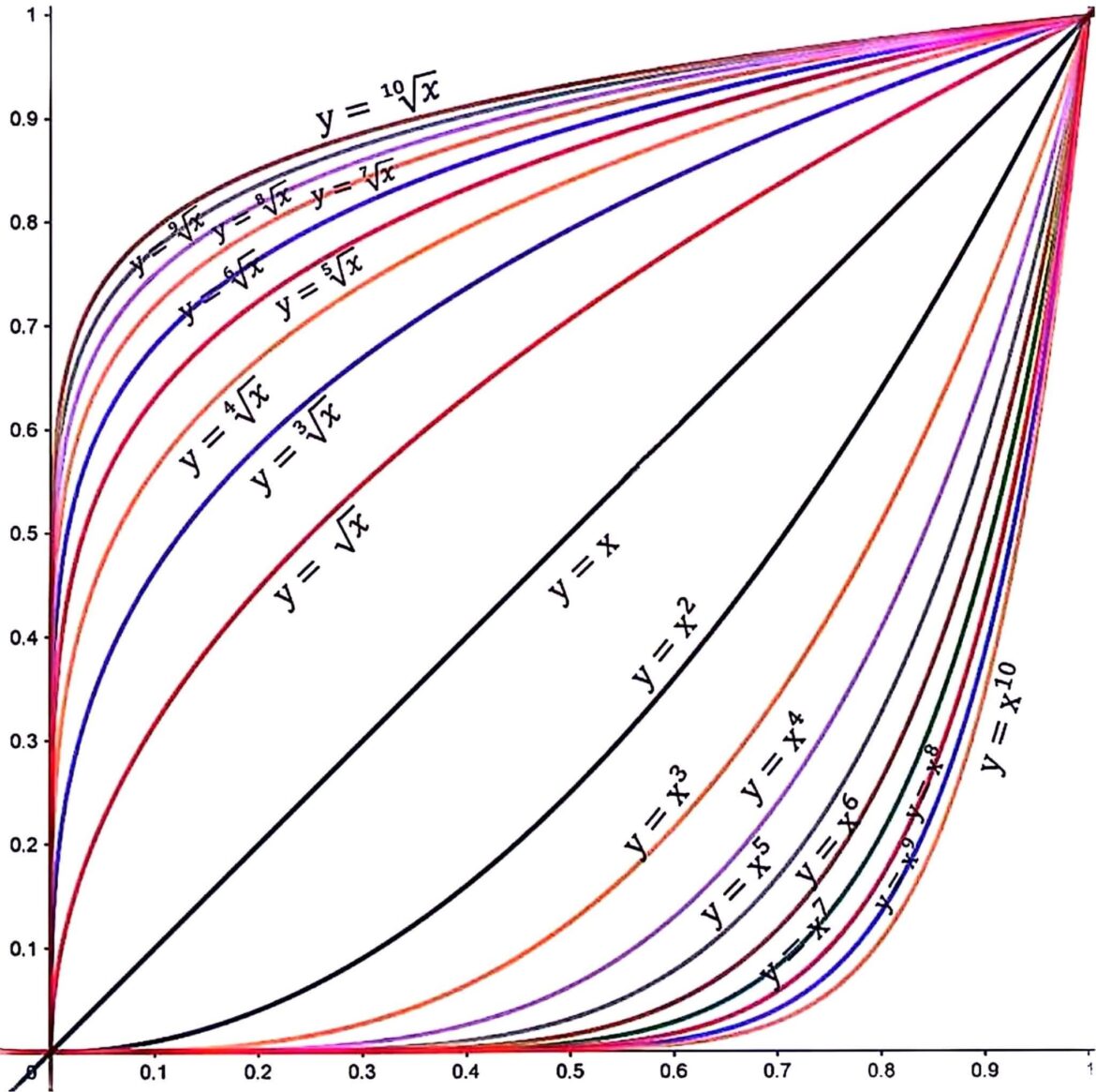
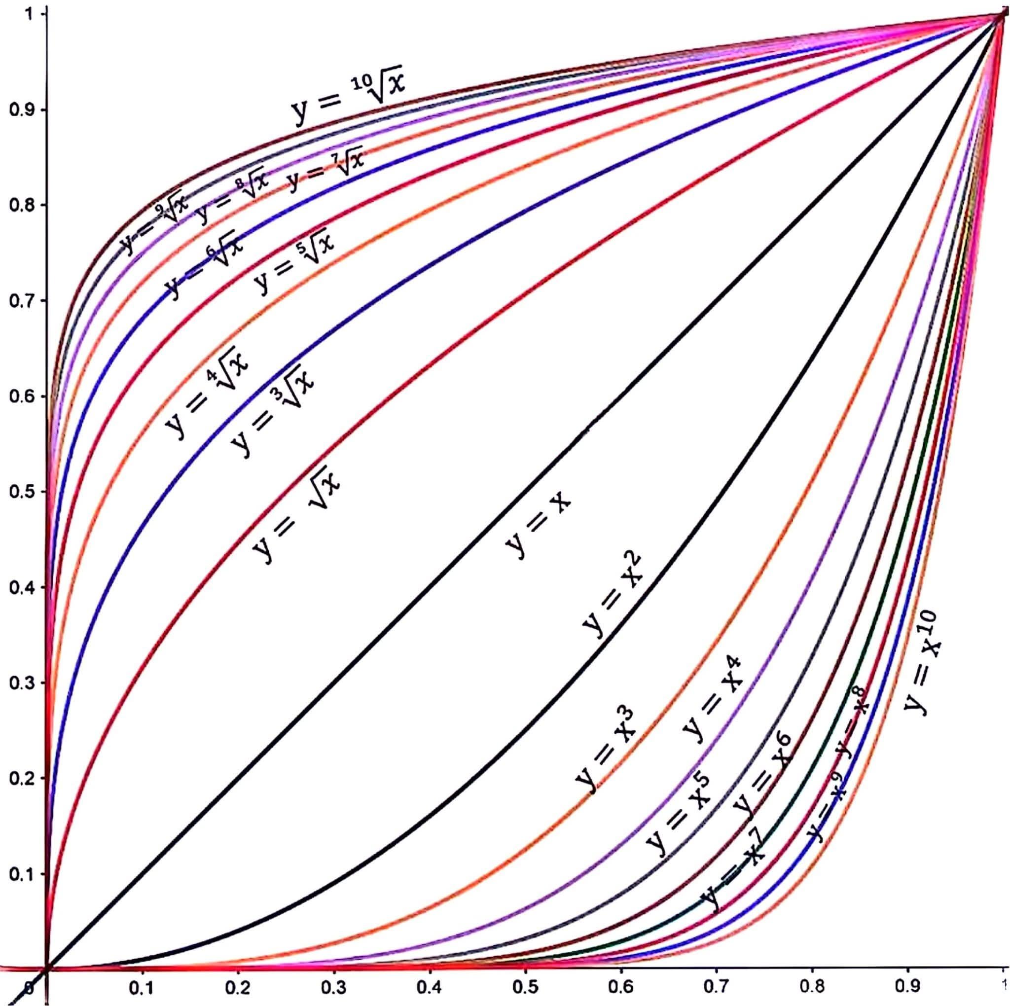
Onions everywhereby Careca_RS 4 Comments VegasFoodFace 3 months ago It’s amazing how nature can embody aspects of math. And the other way around is equally impressive.https://preview.redd.it/t18b2ytwf4ig1.png?width=640&format=png&auto=webp&s=cf6c5b63f29c610ca06c85e7a3b495db27be773d Unique_Examination24 3 months ago Uffff onion and math, 2 things hated by a lot of people which I love 2pnt0 3 months ago Always has been thisnextchapter 3 months ago Intelligent design 🥹🙌
VegasFoodFace 3 months ago It’s amazing how nature can embody aspects of math. And the other way around is equally impressive.https://preview.redd.it/t18b2ytwf4ig1.png?width=640&format=png&auto=webp&s=cf6c5b63f29c610ca06c85e7a3b495db27be773d
Unique_Examination24 3 months ago Uffff onion and math, 2 things hated by a lot of people which I love
4 Comments
It’s amazing how nature can embody aspects of math. And the other way around is equally impressive.
https://preview.redd.it/t18b2ytwf4ig1.png?width=640&format=png&auto=webp&s=cf6c5b63f29c610ca06c85e7a3b495db27be773d
Uffff onion and math, 2 things hated by a lot of people which I love
Always has been
Intelligent design 🥹🙌